在電力測試工作中,不可避免會遇到串聯諧振和并聯諧振這兩大概念而且極易混淆,那么串聯諧振和并聯諧振到底有什么區別呢。
	
		 
	
		    要弄清串聯諧振和并聯諧振的區別,首先要弄清什么是諧振現象,一般在含有電阻、電感和電容的交流電路之中,電路兩端由于有一段距離,因此電壓以及電流都是不一樣的,但是這時候如果調整電路參數或者是電源的頻率讓兩端的電壓和電流相同,電路就會呈現電阻性,那么這個時候電路的狀態就為諧振了。
	
		 
	
		   諧振現象在一般的通訊工程中有著廣泛的應用,但是在電力系統中諧振現象極有可能會阻礙電力系統的正常工作了。
	
		   
	
		    串聯諧振是指在電阻、電感和電容的串聯電路中,電路兩端電流和電壓出現同相位現象,串聯諧振條件是電壓與電流同相,諧振頻率為
	
	
		    串聯諧振特點為總電阻抗值小,同時電源電壓一定時,電流大,同時電路呈電阻性,電容或電感上的電壓可能高于電源上的電壓。
		
 
	
		     
	
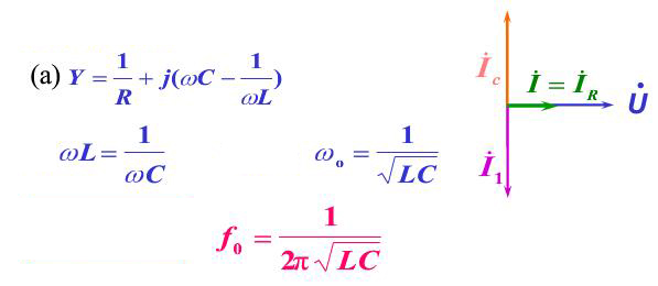
		    并聯諧振是指在電阻電容或者電感在并聯電路中,出現電路端電壓和總電流同相位的現象,即為并聯諧振,產生原理為
	
	
		    并聯諧振特點為電壓一定時,諧振電流小,而同時電阻抗大,電路呈電阻性,總電流可能會小于支流電流。
	
		    
	
		    在實際工作當中,應該分析諧振原理揚長避短,當然簡單有效的方法當然是使用湖北儀天成新研制的串聯諧振設備,可以讓您的工作進行得事半功倍。